На карто-схеме представлена информация о местоположении 470 КОТР международного значения, выявленных в 1995-2008 гг. в рамках программы Союза охраны птиц России "Ключевые орнитологические территории России" в 51 административном регионе Европейской России. Описания конкретных ключевых орнитологических территорий приведены в текстовых обзорах, доступных на выпадающих картах соответствующих субъектов федерации. Номера КОТР на схеме каждого субъекта федерации соответствуют их российским кодам (например, МО-001, ДС-004).
Очерки-описания КОТР изложены по следующей схеме:
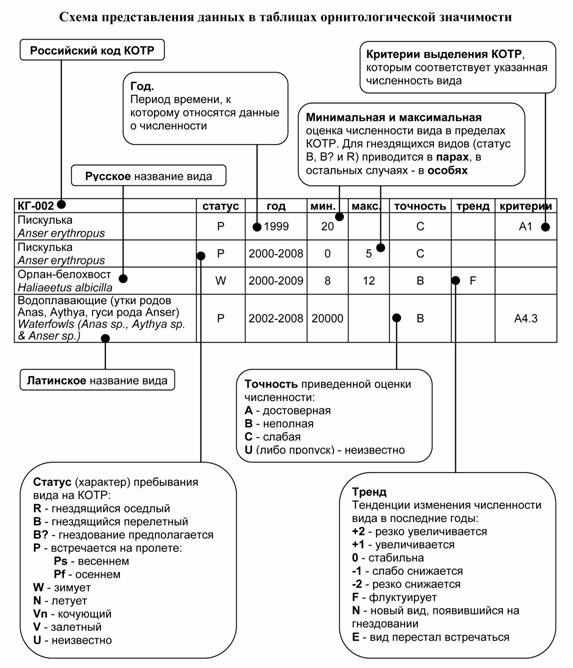
Российский код КОТР
Русское название КОТР
Международный код КОТР
Международное название КОТР
Субъекты федерации, в которых располагается КОТР
Площадь КОТР (га), Географические координаты центра КОТР
Высота над уровнем моря
Критерии, на основании которых выделена КОТР
Описание КОТР и ее орнитологическая значимость.
Краткое описание территории и обитающих там птиц. Дополнением к этому разделу, как правило, служит таблица орнитологической значимости (см. ниже схему представления данных в таблицах), в которой обычно указаны виды, отвечающие критериям выделения КОТР, либо особо редкие для региона или России виды.
Основные типы местообитаний. Приводится процентное соотношение основных местообитаний в пределах КОТР. Типы местообитаний даны, в большинстве случаев, согласно классификации BirdLife International. Так как некоторые местообитания, используемые принятой классификацией, частично перекрываются и являются частями друг друга (например, верховые болота относятся к водно-болотным угодьям, а произрастающие на них заболоченные леса могут быть отнесены одновременно и к лесным биотопам), то во многих случаях общая сумма превышает 100%. В тех ситуациях, когда процентное соотношение местообитаний неизвестно, приведен просто список основных местообитаний.
Основные виды хозяйственного использования территории. Приводится процентное соотношение основных видов хозяйственного использования КОТР. Типы хозяйственного использования даны, в большинстве случаев, согласно классификации BirdLife International. Так как один и тот же участок зачастую используется в нескольких хозяйственных целях, то во многих случаях общая сумма превышает 100%.
Основные угрозы. Факторы, угрожающие существованию КОТР, приведены, в большинстве случаев, согласно классификации BirdLife International. В скобках за каждым фактором угрозы указана степень этой угрозы: А – высокая; В – средняя; С – низкая; D – степень угрозы неизвестна.
Природоохранный статус территории. Приведены все известные существующие в пределах КОТР особо охраняемые природные территории; упомянуты также другие формы охраны территории.
Международный статус охраны. Приведены сведения о наличии у выделенной КОТР какого-либо международного статуса охраны (например, статуса биосферного заповедника, водно-болотного угодья международного значения, участка Всемирного природного наследия).
Необходимые меры охраны. Указаны первостепенные меры, необходимые для долговременного сохранения КОТР.
Авторы-составители. Приведены авторы учетных и мониторинговых карточек КОТР, на основании которых составлен очерк-описание.
